Prophet利用节点间之前的相遇情况为每个节点对求得投递预测值delivery predictabilities,若转发节点的delivery predictabilities高于发送节点,那么就将消息复制转发。本文介绍Prophet路由相关技术细节。
1. 路由策略
介绍Prophet路由的文章如下:
LINDGREN, Anders, DORIA, Avri, et SCHELEN, Olov. Probabilistic routing in intermittently connected networks. In : Service Assurance with Partial and Intermittent Resources. Springer Berlin Heidelberg, 2004. p. 239-254. BibTex
对于DTN路由,毋庸置疑的是:将一个消息复制转发给更多的节点,那么成功投递的可能性就越大,最极端的就是Epidemic,但缺点也很明显,占用太多系统资源(如缓冲区);同理,将一个消息尽可能少复制转发给其他节点,投递率就会下降,最极端的就是DirectDelivery。
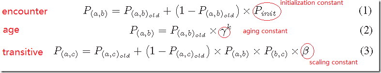
问题就来了,如何更有效地复制转发消息,即将消息复制转发给那些更有可能将消息成功投递的节点。Prophet就是用节点间之前相遇的历史信息,动态更新链接的投递可能值(delivery predictabilities)。求delivery predictabilities包含3部分,公式如下:

(1)encounter
节点间相遇越频繁说明delivery predictability越高,Pinit是一个初始化常数,在[0,1]间取值。
(2)age
如果两个节点间有一段时间没相遇了,那么delivery predictability需要降低。Gamma是指aging constant,在[0,1)间取值,k指距离上次更新的time units数。
(3)transitive
考虑节点间的传递性,如节点A经常遇到节点B,B经常遇见C,那么连接(a,c)的delivery predictability也应该更高。β是放大常数,在[0,1]间取值。
2. Prophet
2.1 常数及设置文件
由上述分析可知,Prophet涉及到三个常数和一个变量:Pinit, Gamma, β, k。三个常数如下:
//ProphetRouter.java
public static final double P_INIT = 0.75; //delivery predictability initialization constant
public static final double DEFAULT_BETA = 0.25; //delivery predictability transitivity scaling constant default value
public static final double GAMMA = 0.98; //delivery predictability aging constant
private double beta; //可以通过设置文件设置,如ProphetRouter.beta = 0.25
3个常数,只有β能通过设置文件改变,设置文件如下:
//设置文件
Group.router = ProphetRouter
ProphetRouter.beta = 0.25 //默认值为0.25
ProphetRouter.secondsInTimeUnit = 30 //多少秒更新一次(age)
2.2 更新delivery predictabilities
首先需要存储每个节点对的delivery predictabilities,用HashMap存储。每个节点的私有变量preds存储本节点与其他节点的delivery predictabilities,如(a, b), (a, c), (a, …)。源代码如下:
//ProphetRouter.java
private Map<DTNHost, Double> preds; //delivery predictabilities
private void initPreds() {
this.preds = new HashMap<DTNHost, Double>();
}
2.2.1 何时更新
对于encounter和transitive,当链接建立时更新;对于age,每隔secondsInTimeUnit更新一次。值得注意的是,更新age比较被动。updateDeliveryPredFor和updateTransitivePreds都会调用getPredFor,取得节点的delivery predictabilities,getPredFor函数会调用ageDeliveryPreds更新因age带来的影响。源代码如下:
//ProphetRouter.java
@Override
public void changedConnection(Connection con) {
super.changedConnection(con);
if (con.isUp()) {
DTNHost otherHost = con.getOtherNode(getHost());
updateDeliveryPredFor(otherHost);
updateTransitivePreds(otherHost);
}
}
public double getPredFor(DTNHost host) {
ageDeliveryPreds(); //make sure preds are updated before getting
if (preds.containsKey(host)) {
return preds.get(host);
} else {
return 0;
}
}
2.2.2 因encounter更新
假设节点A与节点B相遇(即连接建立),轮到节点A做update,更新的是节点A上的preds的(a, b)的delivery predictabilities。源代码如下:
//ProphetRouter.java
private void updateDeliveryPredFor(DTNHost host) {
double oldValue = getPredFor(host); //取值之前需要更新age
double newValue = oldValue + (1 - oldValue) * P_INIT;
preds.put(host, newValue);
}
public double getPredFor(DTNHost host) {
ageDeliveryPreds(); //make sure preds are updated before getting
if (preds.containsKey(host)) {
return preds.get(host);
} else {
return 0;
}
}
2.2.3 因age更新
每隔secondsInTimeUnit(本例为40s),降低所有节点的delivery predictabilities,源代码如下:
//ProphetRouter.java
private void ageDeliveryPreds() {
double timeDiff = (SimClock.getTime() - this.lastAgeUpdate) / secondsInTimeUnit;
if (timeDiff == 0) { //如果没超过secondsInTimeUnit,就不更新
return;
}
//所有的节点都乘以GAMMA ^ k
double mult = Math.pow(GAMMA, timeDiff); //GAMMA ^ k
for (Map.Entry<DTNHost, Double> e : preds.entrySet()) {
e.setValue(e.getValue()*mult);
}
this.lastAgeUpdate = SimClock.getTime();
}
2.2.4 因transitive更新
因transitive更新,有点费解,参考以下的注释:
//ProphetRouter.java
//updateTransitivePreds(otherHost); 假设a--b,节点a做update,那么下述的host是指b
private void updateTransitivePreds(DTNHost host) {
MessageRouter otherRouter = host.getRouter();
double pForHost = getPredFor(host); //P(b,a)
Map<DTNHost, Double> othersPreds = ((ProphetRouter)otherRouter).getDeliveryPreds();
for (Map.Entry<DTNHost, Double> e : othersPreds.entrySet()) {
if (e.getKey() == getHost()) { //此时getHost()是指节点a
continue;
}
double pOld = getPredFor(e.getKey()); //P(a,c)_old, 实为节点a的getPredFor,相当于this.getPredFor
double pNew = pOld + ( 1 - pOld) * pForHost * e.getValue() * beta; //e.getValue为P(b, c)
preds.put(e.getKey(), pNew);
}
}
2.3 update
ProphetRouter的update在DirectDelivery基础上,调用tryOtherMessages函数,Prophet只将消息发送给delivery predictabilities更高的节点。举例说明,节点A遇到节点B,节点A是否要将消息m(其目的节点为C)复制转发给节点B,答案是若P(b, c)大于P(a, c),那么就将消息m复制转发给B。源代码如下:
//ProphetRouter.java
private Tuple<Message, Connection> tryOtherMessages() {
List<Tuple<Message, Connection>> messages = new ArrayList<Tuple<Message, Connection>>();
Collection<Message> msgCollection = getMessageCollection();
for (Connection con : getConnections()) {
DTNHost other = con.getOtherNode(getHost());
ProphetRouter othRouter = (ProphetRouter)other.getRouter();
if (othRouter.isTransferring()) {
continue;
}
for (Message m : msgCollection) {
if (othRouter.hasMessage(m.getId())) {
continue;
}
// 核心代码
if (othRouter.getPredFor(m.getTo()) > getPredFor(m.getTo())) { // the other node has higher probability of delivery
messages.add(new Tuple<Message, Connection>(m,con));
}
}
}
if (messages.size() == 0) {
return null;
}
//orders the tuples by their delivery probability by the host on the other side of the connection
Collections.sort(messages, new TupleComparator());
return tryMessagesForConnected(messages);
}
update函数虽然代码有些长,但最重要的只有两条语句。